Introduction
According to the National Institute of Mental Health, the coronavirus (COVID-19) pandemic caused significant stress and uncertainty all over the world. This was particularly devastating for young children and adolescents across the country who endured school shutdowns, severed social connections, and amplified stress at home and in their local communities. This disruption caused by the pandemic has yielded an extensive new field of research on the impact of the health and development of adolescents psychologically and biologically during the pandemic and its long-term effects (Gotlib et al.,2023).The following study presented is a face-to-face Post COVID-19 (Sanchez et al., 2023) replicated intervention that was conducted online during COVID-19 by the same research team. The original study was replicated, adhering to the same measures and protocols. Differences included the delivery of the original study, which commenced online due to COVID-19 isolation, and the present study was face-to-face in class delivery. The original study was 12 weeks online, and the present study was 10 weeks face-to-face. Both studies are grounded within the same foundational approach in that American educational institutions are seeking innovative, supportive approaches that cultivate mental skills and socioemotional dispositions to prepare and educate future generations, especially in a post-COVID-19 era. Research on adolescent development is continuously evolving, investigating how positive socioemotional dispositions embedded within academic curricula promote and increase positive well-being, decrease negativity, support physical health and wellness, support academic progress, and increase academic performance (Butzer et al., 2016; Felver et al., 2015;Mind and Life Education Research Network [MLERN] et al., 2012; Noggle et al., 2012; Zins et al., 2004). Stress and depression, poor emotion regulation capacity, and underdeveloped behavioral and social coping mechanisms in adolescents are guiding factors that can result in academic non-completion and diminished opportunities in the future (Greenberg et al., 2001).
Furthermore, the impact of COVID-19 isolation on education has shed further light on the importance of mindfulness and social-emotional learning in academic institutions. Adolescents with strong social-emotional skills are better able to manage everyday challenges, with improved functionality socially, professionally, and academically. Mindfulness, the practice of elements of social-emotional skills, is defined as the ability to regulate one’s emotions and focus on the present without judgment. These elements contribute to the narrative of the development of the holistically grounded adolescent. There was a growing interest in the integration of mindfulness/ contemplative school-based yoga programs in school curricula, but post-COVID-19 pandemic, this field has exploded with an ever-increasing interest. Mindfulness in contemporary psychology has been adopted as a methodology for increasing awareness and responding skillfully to mental processes that contribute to emotional distress and maladaptive behaviors (Bishop et al., 2004). Mindfulness practices teach one to approach internal experiences with curiosity and acceptance, and allow for intensive self-observation without judgment, nor attempts to fix or change the experience. Mindfulness is a process of bringing a certain quality of attention to moment-by-moment experience (Kabat-Zinn, 1990).
Current mindfulness/ contemplative school-based yoga programs vary by program and implementation but overall seem to focus on the same basic elements: self-regulation of emotions and behaviors, mindfulness practices, mental wellness, and physical movement. As highlighted in the previous study (Sanchez et al., 2023), there is an overwhelming consensus in the research that any form of physical activity/movement can promote a positive platform for wellness and mobility. The research study focused on the hypothesis proposed by researchers in the field for embedding school-based yoga interventions into schools. The hypothesis model, utilized in the previous study) consists of three competencies, mind–body awareness, self-regulation, and physical postures, which establish a scientific rationale for improving social-emotional skills, mental wellness, and healthy behaviors (Butzer et al., 2016). This study tests this hypothesis and compares the psychological effects of school-based yoga intervention practices on at-risk Hispanic adolescent high school students enrolled in yoga classes to students enrolled in traditional physical education (PE) classes. Overall, this study replicates the previous study (Sanchez et al., 2023) and highlights the missing elements of mental skills and socioemotional dispositions in academia in preparing and educating future generations, focusing on the Hispanic adolescent population.
Literature Review
The described research on School-Based yoga programs has evolved and developed since the onset of the original study conducted online. The following attempts to describe current research in the field, but still highlights the importance of the lack of research primarily focused on the Hispanic adolescent population.
This article takes a closer look at anxiety and depression in today’s youth (namely, in middle-aged children). The authors explore how the use of yoga and mindfulness programs (YMP) is being implemented in schools, which may help children who struggle with anxiety and depression. It is stressed throughout the article how important early intervention is in helping children while discussing the study done and the success rates. The authors closely look at one study done with schoolchildren ages 11 to 14; the students were all racially diverse, with higher poverty rates in New Orleans, LA. The study (Bazzano et al., 2022) was conducted from September 2018 to March 2019, and had the groups participate for 8 weeks each. In the curriculum, both yoga and mindfulness were used to combine the body and mind. The researchers created 8 groups consisting of 10-12 students each, where 4 groups practiced the intervention techniques while the other 4 groups waited until the study was over to participate in the intervention. The groups participated in the YMP once a week for 45 minutes. The program consisted of yoga, games, breathing exercises, and relaxation methods (with an emphasis on yoga positions). In addition, the program was led by 2 yoga instructors and all groups were made by a random generator. Once the study was concluded, it was found that the first 4 groups had a slight decrease in symptoms of anxiety and depression, while the latter groups had a decrease in anxiety with an increase in depression. Overall, the authors discuss the importance of this study as mindfulness studies do not usually target middle-aged children. The study was able to show how YMP could have beneficial factors for younger adolescents as their brains are still developing and adapting; however, the authors critique that the sample size was small and would be more reliable if the sample size were larger. Moreover, the article highlights the benefits of accessibility of youth and mindfulness programs at school due to not relying on parents or home-life factors to participate (Bazzano et al., 2022).
Bergen-Cico et al. (2015) explore the benefits of mindfulness-based yoga on children’s academic life if practiced and implemented into schools. In the following study, 72 students practiced mindfulness-based yoga while 70 students did not participate in the program. Those who did participate in the program found themselves to be better at long-term self-regulation than prior to the experiment, while the cohort group showed no signs of improvement. There was no significance in short-term self-regulation. The authors open with the benefits of practicing mindfulness and the positive impact it has on self-regulation. It is explained that through the practice of mindfulness, one learns how to psychologically understand oneself, which leads to inner growth. The authors go on to discuss the extreme changes children may go through when becoming teenagers (e.g. risk taking); such changes may increase stress factors in adolescents. Therefore, the implementation of mindfulness-based yoga may benefit children who are emerging into adolescence. The authors briefly discuss different studies that showed the positive impacts on children that participated in mindfulness programs and transition into the main study researched and the benefits that were found. In the study conducted by Bergen-Cico et al., 72 sixth-grade students participated in practicing mindfulness-based yoga, while 70 sixth-grade students did not participate in the program; in addition, the 72 students participating were spread across 4 different classes taught by the same teacher. The co-instructor for the exercises was the teacher of the classes who became certified to guide the students through their exercises. The exercises consisted of 2-minute yoga poses and 2-minute mindful meditation 3 times a week. Once the researchers had concluded, they found that the intervention group had a significant increase in self-regulation compared to their baseline and the control group. It was shown that the 72 students who participated benefited long-term from their newfound self-regulation. Moreover, the intervention group provided feedback stating that they found the mindfulness-based yoga helpful in becoming calmer, relaxed, focused, and concentrated; however, less than half of the participants argued that the mindfulness-based yoga wasted class time and did not help them become calmer or focused. Overall, the authors acknowledge the importance and positive impacts of the study conducted. They note that some students began implementing what they learned in the study into their lives, and how the students have gained new skills in dealing with stress (Bergen-Cico et al., 2015).
Shonin et al. (2012) highlight the importance and beneficial effects of this clinical application in children and adolescents (namely those who deal with anxiety, depression, stress, and behavioral disorders). Shonin et al. briefly discuss how many teens struggle with managing anxiety, depression, stress, and different behavioral disorders. The authors then go on to explain that there may be a way to manage these difficulties through MBI being implemented into schools and one’s home life. Although the authors do make it clear that mindfulness is still a new skill being practiced in the Western world, and needs more research and sampling to be deemed substantial in being helpful toward children and adolescents. The authors explore different research done toward finding out how helpful MBIs are and question what age is appropriate to begin engaging in mindfulness. For instance, one study was done on several young children in a school setting over a twelve-week period that showed children who participated in the MBI exercises improved in lowering their intrusive thoughts and wandering thoughts; those who did not participate in the exercises continued to have difficulties with elevated stress. Further, in another study, children aged seven to nine participated in MBI activities over an eight-week period and showed how well children said improved in executive function and metacognition. The authors then explain that a key factor to mindfulness-based interventions is the versatility in how they are used; there are many ways to practice mindfulness based on the type of group participating, hence strengthening its usefulness.Though mindfulness-based interventions have shown a wide range of positive this does not negate the light criticism the authors make toward these studies. They discuss how MBIs are still a new emerging thought process and practice in the Western world, along with it not being fully tied to its originator, Buddhism. Moreover, it is discussed that the research done is limited and only done over a short period of time (eight to twelve weeks), along with no follow-up. It cannot be certain whether the participants will continue to use mindfulness skills in the future or whether the positive effects are long-term or short-lived. The authors acknowledge that the research done has been shown to have positive effects with a lack of negative side effects, but researchers must continue to seek new information on MBIs (Shonin et al., 2012).
Frank et al. (2013) take a closer look at mindfulness-based practices and how they can benefit student-teacher relationships, students with ADHD, those who struggle with emotional regulation, and reduce stress for younger students. The authors dissect and comment on the different research that has been found on MBIs and how these skills can be helpful toward students, parents, and teachers—if the effort and time are put in. The authors of this article discuss the efforts and studies of improving mental health through mindfulness have mainly been catered toward children and adolescents, mainly due to the elasticity of a young mind; if schools can incorporate emotional and behavioral regulation, then these children will be more likely to carry on these skills into adulthood. This is only a theory, of course, but it does not hurt to attempt to help children. For example, a study was done with schoolchildren who have ADHD and incorporated Mindfulness-Based Stress Reduction (MBSR) into their weekly routines. This study included the parents and teachers of the students and was shown to be beneficial for all participants. Several other studies have been conducted with students with different behavioral challenges, and those without behavioral challenges, which have also shown to have positive effects. Whether children and adolescents have behavioral issues or not, many suffer with stress, and having adults recognize this and try to help with social and emotional sessions has and can continue to cultivate a positive and healthy atmosphere. The authors recognize the overall stress that comes with being a student and being the teacher and parent of students who struggle with stress (among many other difficulties). They view that practicing mindfulness at all ages can be useful for lowering stress, managing emotions and behavior, and overall being beneficial in the classroom. With that in mind, the authors agree that more studies must be conducted in order to form a proper opinion on mindfulness, but researchers are on their way toward finding a beneficial life skill and practice (Frank et al., 2013).
Khalsa and Butzer's (2016) significant research article, as described in the previous study (Sanchez et al., 2023), identified 47 peer-reviewed journal articles, reporting that 50% of these studies were conducted in elementary school settings, and 85% were embedded within the school curriculum and implemented during school hours. For inclusion in this systematic review, studies were required to include mindfulness and meditation, breathing practices, and yoga postures. The researchers found a high degree of variability among the yoga interventions and implementations within school settings. Additionally, the studies collectively exhibited low to moderate methodological quality in research design (Khalsa & Butzer, 2016). Overall, the researchers recommended methodological rigor and systematic intervention characteristics with more connected attention to the social-emotional learning core competencies as part of a holistic system of practices. The collective research in this field shows improvements in behavior, mental, physical, and emotional health and well-being (Butzer et al., 2016; Felver et al., 2015; Khalsa & Butzer, 2016; Noggle et al., 2012).
Each of the studies described represents distinct research in the field, replicated with moderate differences for evaluating school-based yoga interventions in this ever-evolving and expanding field post-COVID-19 pandemic. Studies have consistently indicated positive overall outcomes of school-based yoga interventions. Importantly, there is a lack of research that specifically compares school-based yoga interventions to traditional PE programs focused on adolescent populations that are culturally and linguistically diverse.
Methodology
The quasi-experimental design examines the effects of a school-based yoga program on mood, affect, and mental health in a sample of at-risk Hispanic students. Surveys were utilized to obtain data from participants. Implementation of the school-based yoga interventions in this study was based on the framework model (mind body awareness, self-regulation, and physical fitness) proposed by Butzer et al. (2016). The original study was implemented online during the global COVID-19 pandemic when all schools transitioned to online learning and had IRB approval. The study was replicated post-COVID (a year later) when students returned to the classroom environment. Researchers transitioned the virtual plan of delivery into a face-to-face study implementation, with minor modifications, which was approved by the IRB and school district.
Participants for this face-to-face study were selected using convenience sampling of freshmen enrolled at a designated high school in South Texas. The freshman school curriculum required enrollment in a college physical fitness class for 1 college credit. A total of 60 students enrolled in the college's physical fitness course. The course is normally divided into sections offered two days per week (M/W or T/ TH). The participants were randomly placed (based on the physical activity they selected) into one of two groups: 34 adolescents volunteered to participate in the yoga class, and 26 adolescents in the physical fitness class. The adolescents were divided into four course sections based on treatment (yoga) and control (PE) participation groups. The M/W sections consisted of two control groups, scheduled at different morning timeslots. Similarly, the T/TH sections consisted of two treatment groups, scheduled at different morning timeslots. 60 adolescents participated in the 10-week-long study; while an attempt was made to conduct the study for the 12-week duration of the semester, the return to face-to-face post-COVID caused delays in implementing the intervention in week 1. Hence, the study ran consistently over a 10-week semester period. 38 participants identified as female (33 in the yoga treatment group and 5 in the PE group) and 22 identified as male (5 in the yoga treatment group and 17 in the PE group). The total participant count remained consistent at the conclusion of the study, 60 students, with 34 in the yoga class and 26 in the physical fitness class. Because the participants were minors, both parental consent and adolescent assent were needed. Participants were not compensated for their participation and were informed that they could withdraw from the study at any time without any penalty and would be transitioned into the control group class (physical fitness). The study proposal was reviewed and approved by the IRB and by the school district that opted to participate in the study.
Participants
Participants were from a public high school that was partnering with a local university. All incoming freshman students (orientation) were informed of the option to sign up for yoga or physical education as their PE requirement. All students enrolled in this designated high school campus must be assigned to one of two PE course offerings. The study duration was 10 weeks, with a total of 20 classes for both the yoga and physical fitness groups. As previously mentioned, the current study is a replicated theoretical design of the original study conducted during the COVID pandemic in an online instructional delivery forum in 2021. The participants in this current face-to-face study are reflective of the same population that participated in the online study.
Transparency and Openness
The researchers reported how sample size, data exclusions, and measures in the study were determined, following JARS (Kazak, 2018). All data, analysis code, and research materials are available upon request by emailing the corresponding authors. Data were analyzed using SPSS version 26. The study’s design and analysis were not preregistered.
The researchers assessed mental well-being (psychosocial), mood, and affect, utilizing scales found in previous research on yoga practices within schools (Felver et al., 2015; Noggle et al., 2012;Sanchez et al., 2023). The Brunel Mood Scale (BRUMS) measures adolescent mood and is modeled after the Profile Mood States survey (POMS) (Lane & Lane, 2002; McNair et al.,1971). The BRUMS consists of 24 mood descriptors organized into six subscales: Anger, Confusion, Depression, Fatigue, Tension, and Vigor. Each subscale is associated with 4 mood descriptor items. The BRUMS is a 5-point Likert-type scale with a numerical rating of zero to four (0 = not at all; 1 = a little; 2 = moderately; 3 = quit a lot; 4 = extremely). Participants were asked to carefully read the items (words) listed that describe feelings and select what they believe best represents their present situation, using questions such as “How do you feel now in this present moment?” The mood descriptors were categorized accordingly: anger = annoyed, bitter, angry, bad-tempered; confusion = confused, muddled, mixed up, and uncertain; depression = depressed, downhearted, unhappy, miserable; fatigue = worn out, exhausted, sleepy, and tired; tension = panicky, anxious, worried, and nervous; and vigor = lively, energetic, active, and alert. Brandt et al. (2016) and Quartiroli et al.(2017) investigated the construct validity and internal consistency of the BRUMS instrument to determine its effectiveness in measuring mental health in diverse populations who are physically active and apparently healthy. The results indicated high internal consistency (α= 0.85), with all subscale values validated by their alpha coefficients and factor loadings. These results were higher than those found in the validation studies for other instruments. Felver et al. (2015) reported similar internal consistencies when applying BRUMS subscales, with Cronbach’s alpha values ranging from 0.73 to 0.93. To measure affect, the PANAS-C was employed and is one of the most widely used scales to measure mood or emotion (Laurent et al., 1999; Watson et al., 1988). The PANASC measures adolescent affect using a multilateral model of anxiety and depression with dimensions of positive affect (PA) and negative affect (NA) mood descriptors (Felver et al., 2015; Sanchez et al., 2023; Watson et al., 1988). PA refers to the propensity to experience positive emotions and interact with others, including life’s challenges, in a positive way. NA corresponds to perceiving the world in a more negative way, including feelings of negative emotions in relationships and surroundings. The scale comprises 27 items, with 12 items measuring positive affect (e.g., excited, joyful) and 15 items measuring negative affect (e.g., lonely, afraid). Each item is rated on a five-point Likert-type scale, with 1 = not at all; 2 = a little; 3 = moderately; 4 = quite a bit; and 5 = extremely. According to Watson et al. (1988) and Laurent et al. (1999), the PANAS-C is based on psychometric and theoretical grounds that demonstrate good convergent and discriminant validity with existing self-report measures of childhood anxiety and depression. Internal consistency reliability alphas ranging from .86 to .90 for PA and .84 to .87 for NA were reported by Watson et al. (1988). This instrument is effective in measuring and tracking changes from the present time to week-to-week positive and negative emotions while engaging in psychological interventions or activities (Magyar-Moe, 2009). Felver et al. (2015) reported similar internal consistencies for applying PANAS-C subscales, with acceptable Cronbach’s alpha values of 0.93 for PA and 0.89 for NA.
Experimental Conditions
Quantitative data collection began with the first active session and lasted 10 weeks (total of 20 sessions). Student surveys were collected weekly before and after yoga sessions. Student surveys were also collected weekly before and after traditional PE sessions to serve as a control. The student surveys were provided in English and were translated into Spanish as needed for participants who requested additional support to understand the expectations. Butzer et al.’s (2016) framework was used as the hypothesis model (mind body awareness, self-regulation, and physical postures) for the school-based yoga interventions in this study. The research design included a total of four course sections, each meeting 2 days a week (Monday/Wednesday or Tuesday/Thursday), for 60 min per session. Two sections were yoga classes (treatment), and two sections were PE classes (control). Yoga participants were assigned to one of two courses offered. Participants who opted out of yoga were assigned to one of two PE courses. The study duration was 10 weeks, with a total of 20 classes for both the yoga and physical fitness groups. As previously stated, this research design was first conducted online during the COVID-19 pandemic, and the current data replicates the same study in a face-to-face delivery instruction mode post-COVID. This face-to-face delivery was approved and permitted in accordance with the IRB, university, and school district policies.
Yoga Classes
A 20-lesson curriculum was developed by the researchers to reflect adolescent yoga research in the field, Kripalu Yoga Philosophy, and the CASEL SEL core competencies of self-management, self-awareness, social awareness, relationship skills, and responsible decision-making. The design also reflects Best Practices for Yoga in Schools (Childress &Cohen Harper, 2015) and mirrors previous yoga-in-the-schools interventions (Butzer et al., 2016; Felver et al., 2015; Noggle et al., 2012). The curriculum was also reviewed by an external expert in adolescent yoga. The consultant is certified by the International Association of Yoga Therapists and the National Ayurvedic Medical Association and is a Yoga Alliance Continuing Education Provider and a 500-hour trained, experienced, registered yoga teacher (E-RYT500), who holds a 1,000-hour Kripalu Yoga Teaching credential and serves as a faculty member and curriculum developer at Kripalu Center for Yoga & Health in Stockbridge, MA. The 60-min class consisted of traditional mind and body yoga practices, including breathing exercises (5 min), yoga postures and stretching exercises (40 min), and deep relaxation and meditation techniques (5 min). The remaining 10 min were utilized for connecting with students virtually (Q&A), attendance purposes, checking in with students, and allowing students downtime before their next course. Food rules on healthy eating and making better food choices were embedded into the weekly sessions. For example, avoiding sodas, sugar dinks, and fatty snacks, and limiting food portions were some of the food rules shared. Additionally, different positive affirmation themes were embedded into the breathing and meditation timeframe: gratitude, mind–body connections, self-worth (self-esteem), positive behaviors, positive relationships, empathy, compassion, healthy choices, abandonment of negativity, challenges are there to help us grow, focus and concentration, nonjudgment, and healthy, thoughtful responses determine outcomes. The yoga classes were delivered by the primary researcher and co-instructor. The researcher has 30 years of experience in the education field, teaching elementary through high school and university, and holds a Ph.D. in Curriculum and Instruction. The researcher has practiced and taught yoga for 12 years. She is a 200-hour registered yoga teacher with Yoga Alliance and has earned additional training hours with the Kripalu Center for Yoga and Health. The co-instructor holds a Master’s of Education in Kinesiology and has taught kinesiology at the community college and university levels for over 20 years, and has 27 years of overall fitness instruction experience. The co-instructor is a certified group exercise instructor with the American College of Sports Medicine and a certified personal trainer by the National Strength and Conditioning Association. She is a 200-hour registered yoga teacher with Yoga Alliance and holds an additional 200-hour certification with YOGAFIT.
Physical Education Class
The instructor taught the two sections of PE (control) classes. The course included a variety of activities to strengthen the heart, lungs, and vascular system. The objectives of the course were to demonstrate an understanding of motor skill development, inclusive of the components of health-related fitness, and to provide an understanding of the multidimensional nature of kinesiology, health, and wellness. The 60-min class consisted of a 10-min warm up, 30 min of aerobic and muscular endurance exercise, and 10 min of core and stretching. The remaining 10 min of the course were utilized for connecting with students (Q&A), attendance purposes, checking in with students, and allowing students downtime before their next course.
Data Analysis
To assess psychological well-being (quantitative data), constructs of mood and affect were measured by employing two commonly utilized questionnaires: BRUMS and PANAS-C. The surveys were collected online via Survey Monkey through weekly emails. Data were coded and analyzed using SPSS version 26. Data were double-coded and verified to ensure accuracy. Kolmogorov‒ Smirnov and Shapiro‒ Wilk tests and a visual review of the Q-Q plots and histograms were conducted to determine if the data were normally distributed. As the data were not normally distributed, the Wilcoxon signed rank test was used rather than the paired sample t-test approach employed by previous studies. These statistical analyses were conducted between groups to compare the effects of yoga classes and PE classes. Difference scores were calculated by subtracting pre-class scores from post-class scores for all subscales (Anger, Confusion, Depression, Fatigue, Tension, and Vigor). Additionally, difference scores for positive affect and negative affect variables were reported. Next, change scores from pre- to post-classes were calculated using paired samples within-group tests for the yoga and PE classes.
Results
The longitudinal results were analyzed using Friedman’s test (Table 1) as the data were not normally distributed. By analyzing pre/post result differences among and between subscale pairs, Friedman’s test identified any treatment-related statistically significant differences during the ten weekly testing events of the study. The only statistically significant result was on the PANAS-C Positive posttest (p=.002), having a large effect size (w=1.000). All the other domains did not have statistically significant results and mostly had a small effect size. Two domains of the BRUMS (Fatigue and Vigor) had small to medium effect sizes. Even though the Friedman’s test results failed to show much in the way of statistical significance, the longitudinal trends in participant response and the Week 1 to Week 10 comparisons demonstrate a practical significance for students to increase their overall well-being.
Table 1. Summary of Friedman’s Test: Experimental Group Compared to Control
| Subscore Metric | Test Version | Significance | Fr Statistic | DoF | Kendall’s W | Kendall’s W interpretation (effect size) (.2=small; .5=medium; .8=large) |
| Anger | Pretest | .527 | .400 | 1 | .040 | Small effect |
| Posttest | .206 | 1.600 | 1 | .160 | Small effect | |
| Confusion | Pretest | .527 | .400 | 1 | .040 | Small effect |
| Posttest | .527 | .400 | 1 | .040 | Small effect | |
| Depression | Pretest | 1.000 | .000 | 1 | .000 | No effect |
| Posttest | .206 | 1.600 | 1 | .160 | Small effect | |
| Fatigue | Pretest | .058 | 3.600 | 1 | .360 | Small to medium effect |
| Posttest | .058 | 3.600 | 1 | .360 | Small to medium effect | |
| Tension | Pretest | .527 | .400 | 1 | .040 | Small effect |
| Posttest | .527 | .400 | 1 | .040 | Small effect | |
| Vigor | Pretest | .058 | 3.600 | 1 | .360 | Small to medium effect |
| Posttest | .058 | 3.600 | 1 | .360 | Small to medium effect | |
| Positive | Pretest | .206 | 1.600 | 1 | .160 | Small effect |
| Posttest | .002** | 10.000 | 1 | 1.000 | Large effect | |
| Negative | Pretest | 1.000 | .000 | 1 | .000 | No effect |
| Posttest | .206 | 1.600 | 1 | .160 | Small effect |
**p<.01.
Comparison of Pre-Post Change Scores between Yoga and Physical Fitness classes
Table 2 and Table 3 offer a visual pre-post mean score comparison of week 1 and week 10 for both the experimental group (Yoga) and the control group (Physical Fitness). Reviewing the Week 1 data, most domains showed the expected trends in student response. For the BRUMS test, these include small decreases in student confusion, depression, fatigue, and tension (16% reduction for tension, which was statistically significant [p<.05]) for the experimental group and similar response changes for the control group, although none were statistically significant. A few surprising results were an increase in Anger for both groups (possibly a confounding variable from outside the study), and while Vigor showed an expected slight increase for the experimental group, it had a 10% decrease for the control group. The PANAS-C results were a bit more surprising as both groups saw a slight decrease in the Positive response. The Negative response for the experimental group showed an expected decrease, but the control group had a surprising increase in Negative responses.
Table 2. Week 1: Experimental and Control Means Change Comparison
| Yoga (N=34) | PE (N=26) | |||||
| Subscale | Pre | Post | Change | Pre | Post | Change |
| BRUMS | ||||||
| Anger | 5.83 | 6.37 | 9% | 5.00 | 5.28 | 6% |
| Confusion | 7.50 | 7.33 | -2% | 5.80 | 5.56 | -4% |
| Depression | 7.13 | 6.53 | -8% | 5.40 | 5.24 | -3% |
| Fatigue | 9.70 | 8.83 | -9% | 9.36 | 8.24 | -12% |
| Tension | 8.60 | 7.23 | -16%* | 6.52 | 6.00 | -8% |
| Vigor | 10.20 | 10.27 | 1% | 11.16 | 10.04 | -10% |
| PANAS-C | ||||||
| Positive | 33.10 | 32.30 | -2% | 33.16 | 31.36 | -5% |
| Negative | 24.53 | 23.53 | -4% | 19.28 | 20.64 | 7% |
*p<.05.
Table 3. Week 10: Experimental and Control Means Change Comparison
| Yoga (N=34) | PE (N=26) | |||||
| Subscale | Pre | Post | Change | Pre | Post | Change |
| BRUMS | ||||||
| Anger | 5.00 | 4.91 | -2% | 5.92 | 5.54 | -6% |
| Confusion | 5.62 | 5.44 | -3% | 5.23 | 5.88 | 13%* |
| Depression | 5.21 | 5.21 | 0% | 5.85 | 5.50 | -6% |
| Fatigue | 6.62 | 6.74 | 2% | 6.46 | 8.04 | 24% |
| Tension | 6.00 | 5.59 | -7% | 6.04 | 6.00 | -1% |
| Vigor | 8.91 | 10.41 | 17%** | 9.38 | 10.31 | 10% |
| PANAS-C | ||||||
| Positive | 27.56 | 32.56 | 18%** | 29.35 | 31.23 | 6% |
| Negative | 21.44 | 19.71 | -8% | 22.42 | 22.04 | -2% |
*p<.05. **p<.01.
The Week 10 data, the concluding week of the study, show generally similar results. Both groups are now showing a decrease in the Anger domain, and the treatment group generally shows improvement in student responses although the percent change in this week is mostly small. The treatment group has a few notable responses from Week 10. The Depression score was steady during this week and the Fatigue score increased slightly. There were two statistically significant results for the treatment group (both at p<.01): Vigor from the BRUMS results increased 17%, and the PANAS-C Positive response increased 18%.
The fairly low percent changes from pre to post tests for the experimental group in Week 10 are a function of the long-term benefits of practicing Yoga, as the pre-test data generally moved in a healthier direction as the study advanced. Even for the Depression and Fatigue scores, the Week 1 to Week 10 pre-test scores decreased 26.9% and 31.8%, respectively, resulting in a lower ability to make a large percentage change for the Week 10 pre/post-test comparison.
The Week 10 results for the control group were fairly erratic. The PANAS-C results were as expected, with increased Positive affect and lower Negative affect, but these results were quite a bit lower in impact than those for the experimental group. The BRUMS results that were of concern were of two types. The first is that the pre-test scores were, in a few cases (Anger and Confusion from the BRUMS scale and the Negative affect from the PANAS-C scale), greater than the Week 1 pre-test scores, which is the opposite of the experimental group results. The second area of concern is the percent changes for the Confusion and Fatigue Domains. The Confusion Domain had a statistically significant increase (p<.05) for the 10 th week, increasing by 13%. Fatigue had an even greater increase at 24%, but it was not a statistically significant increase. Given that both the experimental and control groups had increases in Week 10 (only 2% for the experimental group), it is possible that a confounding variable external to the study increased fatigue among all participants. Important to note that this study was implemented post-COVID-19 upon students' return to regular face-to-face instruction and first interactions with educators and peers outside the home environments.
Discussion
Trend Analysis by Domain
BRUMS – Anger
Over the course of the ten-week study, the average experimental pre- and post-test scores decreased, suggesting that the students participating in the Yoga class experienced a long-term reduction in anger. Students participating in the control group (traditional physical exercise) had an increasing anger score across the term of the study. This increase is a surprising result as our previous study found that any form of physical exercise tends to reduce the anger domain scores by varying amounts (Sanchez et al., 2023). The different trends for both groups decreased over time. This trend is as expected for the experimental group, as the pre-tests tend to be lower each week over the course of the study. Given the atypical increase in pre-test scores for the control group, the slight decrease in difference score over time suggests that the traditional PE course was less successful in reducing anger during the week as the study progressed.

Figure 1. BRUMS Anger Subscale Trends

Figure 2. BRUMS Anger Subscale Pre-Post Difference Trends
BRUMS – Confusion
Over the course of the ten-week study, the average experimental pre- and post-test scores decreased, suggesting that the students participating in the Yoga class experienced a long-term reduction in confusion. Students participating in the PE control group had a decreasing confusion pre-test score across the term of the study, as was expected. However, the post-test score increased over time. Similar to the Anger score trends, this increase was a surprising result, indicating that the PE students became more confused each week as the study progressed. The different trends for the experimental group decreased over time. This trend is as expected, as the pre-tests tend to be lower each week over the course of the study. However, even with the decreasing pre-test scores for the control group, the difference score increased over time, suggesting the traditional PE course increased student confusion during the week as the study progressed.

Figure 3. BRUMS Confusion Subscale Trends

Figure 4. BRUMS Confusion Subscale Pre-Post Difference Trends
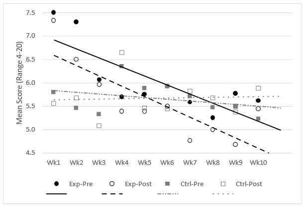
BRUMS – Depression
Over the course of the ten-week study, the average experimental pre- and post-test scores decreased, suggesting that the students participating in the Yoga class experienced a long-term reduction in depression. Students participating in the PE control group had increasing pre- and post-test depression scores across the term of the study. Following the trend with the previous domains, this increase is a similarly surprising result. The difference in trends in the experimental group decreases over time, with the post-test score widening the gap between the two. Even with the reduced pre-test scores over time, the post-test scores indicate that the positive impact on student depression continues to grow. Unfortunately, the same cannot be said for the control group. Both pre- and post-test scores increased each week over the course of the study, while the difference between the two remained the same. Even though depression scores increased, the PE class provided the same level of relief each week.

Figure 5. BRUMS Depression Subscale Trends

Figure 6. BRUMS Depression Subscale Pre-Post Difference Trends
BRUMS – Fatigue
Over the course of the ten-week study, the average pre- and post-test scores decreased for both the experimental and control groups. The experimental group post-test score trend remained lower than the pre-test score trend, indicating that Yoga tends to reduce student fatigue during the week. The control group, even with a trend of declining scores, had post-test scores greater than the pre-test scores, suggesting that the students participating in traditional PE class experience a long-term reduction in fatigue, but the fatigue increases during the week. The pre-post difference trends increase throughout the study. For the experimental group, this result indicates that as each individual week progresses, the reduction in fatigue continues, but is reduced each week, which may be a function of the continually decreasing pre-test scores. As discussed earlier, the control group saw an increase in fatigue during each week, and the amount of fatigue between the pre- and post-tests continued to trend upward.

Figure 7. BRUMS Fatigue Subscale Trends

Figure 8. BRUMS Fatigue Subscale Pre-Post Difference Trends
BRUMS – Tension
Over the course of the ten-week study, the average experimental pre- and post-test scores decreased, suggesting that the students participating in the Yoga class experienced a long-term reduction in tension. Students participating in the PE control group only had a slight decrease in pre-test scores, but had consistent post-test scores. These results suggest the control group had a small long-term decrease in tensions, but by the end of each week, their tension levels remained the same. By the end of the study, the tension pre- and post-scores were nearly identical, indicating no additional benefit during a week of PE. Given the nearly parallel trend lines for the experimental group, it is not surprising that the pre-post difference trend only had a slight change, indicating that the long-term benefits of Yoga continued to increase. For the control group, it is also not surprising that the upward trend in pre-post difference kept reducing until the difference was zero, indicating that no additional benefit is being realized by PE in terms of reducing end-of-week tensions in students.

Figure 9. BRUMS Tension Subscale Trends

Figure 10. BRUMS Tension Subscale Pre-Post Difference Trends
BRUMS – Vigor
Over the course of the ten-week study, the average experimental and control pre-test scores decreased, suggesting that the students participating in the physical activity group experienced a long-term reduction in vigor. This reduction in pre-test scores could be a confounding factor in the progression of the semester for the students, since at the start of the week, student vigor kept getting lower as the semester progressed. Both the experimental and control group post-tests had large increases in vigor scores by the time their post-tests were taken toward the end of each week. Where the experimental group's vigor post-test scores decreased slightly across the 10-week study, the control group's post-test scores continued to increase. Not surprisingly, both groups' pre-post difference trends saw large increases throughout the study. Although the weekly decrease in pre-test scores was a bit surprising, the post-test scores and pre-post difference trends for both groups indicate that some form of physical exercise during the school week increases student vigor scores.

Figure 11. BRUMS Vigor Subscale Trends

Figure 12. BRUMS Vigor Subscale Pre-Post Difference Trends
PANAS-C – Positive
Over the course of the ten-week study, the average experimental and control group pre-test scores decreased, suggesting that the positive effect of students participating in any physical activity decreases over the term. This decrease may also be due to confounding factors found outside the study. However, post-test scores remained steady and above the pre-test scores, showing an increase in positive affect each week and across the study period. The experimental group scored approximately 5% higher on the post-test positive affect scale than the control group. Given the declining nature of the pre-test scores and the consistent nature of the post-test scores, the pre-post difference trends both increase throughout the study, with the experimental group expressing a higher positive affect difference score than the control group. The overall results from this PANAS-C – Positive instrument from this face-to-face study seem consistent with the findings of the online replicated study during COVID-19 (Sanchez et al., 2023).

Figure 13. PANAS-C Positive Subscale Trends

Figure 14. PANAS-C Positive Subscale Pre-Post Difference Trends
PANAS-C – Negative
Over the course of the ten-week study, the average experimental pre- and post-test scores decreased, suggesting that the negative effect of students participating in Yoga decreases over the term. Conversely, the control group pre- and post-test scores increased, indicating that the negative effect of students participating in PE increased over the same timeframe. The pre-post difference trend for the experimental group shows an increasing distance between the pre- and post-test scores, indicating that not only is the negative affect decreasing over the course of the study, but the reduced negative affect is making even a greater improvement for students with each subsequent week. The control group, which had nearly identical and overlapping trends for pre- and post-test scores, had a nearly flat pre-post difference trend. This trend does increase slightly over time, indicating that the negative effect gets slightly worse for the PE students in each subsequent week.

Figure 15. PANAS-C Negative Subscale Trends

Figure 16. PANAS-C Negative Subscale Pre-Post Difference Trends
Conclusions
Overall, students participating in the Yoga class saw a general improvement in their self-identified measures for all domains of the BRUMS scale within each week. All the negative parameters decreased over time based on the pre-test data, indicating a long-term, summative benefit to participating in a Yoga class. Surprisingly, the positive parameter (vigor) also shows a decrease over time. Given that this same decrease was found with both groups and is contrary to previous study findings, we think that an external confounding variable may have contributed to this result. The PANAS-C positive affect scale also saw a decrease as the study progressed, further supporting the confounding variable theory. However, by the end of each week, the positive affect scores on the post-tests were back at higher levels, with the pre-post test score difference increasing each week. Similarly, the negative affect domain pre-test score decreased each week, and the post-test scores continued to be reduced at an increasing rate. These overall positive impacts continue to support overall improvement for students by participating in Yoga as a form of physical fitness, consistent with the online study (Sanchez et al., 2023).
The students participating in the Physical Exercise class did not fare as well. The trend for the negative BRUMS domains (anger, confusion, depression, fatigue, and tension) all remained steady or increased, except for fatigue, which experienced a reduction over the study. The trend for vigor, the positive BRUMS domain, decreased over the study for the pre-test, but increased for the post-test. Regarding the PANAS-C results for the Physical Exercise class, the Positive Affect scale trends mirrored those of the Yoga Class trends in decreasing over time for the pre-test scores, but post-test scores increased to a consistent level. Although this consistent level is lower than the consistent level for the Yoga class, it is a positive result. Surprisingly, the PANAS-C Negative Affect trends for the Physical Exercise class increased over time, with the pre-test and post-test trends nearly on top of each other, indicating an increase in negative affect over time and no overall difference in pre- and post-test trends. With only post-trends for vigor and positive affect showing improvement for students, it appears the Physical Education class students were worse off overall at the end of the study.
Recommendations
The data continue to support the inclusion of Yoga as a form of physical exercise for improving the health of students within the demographics of those who participated in the study.As with any study, limitations factor in and should be identified. This study was limited by the sample size made available to researchers, and the results are generalizable only to the convenience sample population that was afforded to researchers by school district guidelines. Future studies should focus on larger, randomly sampled populations that reflect different schools and regions. The results of this study were positive; precautions should be used in their generalization. The long-term permanence of the results must also be confirmed with follow-up studies.
The results of this study demonstrate promising improvements in the mental health and well-being of students engaged in mindfulness yoga practices at school. A school-based yoga program is an innovative approach that supports and cultivates mental skills and socioemotional dispositions in preparing and educating future generations and should be considered a viable option for a traditional PE curriculum due to the potential added benefits.
Limitations
One potential limitation was that some, not all, students described English as their second language and Spanish as their first language; nevertheless, all participants were fluent in English. The long-term permanence of the results must also be confirmed with follow-up studies. Future recommendations would be to extend the study over a 4-year period, offer the yoga intervention throughout the participants’ high school years, and follow and track all participants to determine any long-term impact overall.
The materials, analysis code, and data that support the findings of this study are available on request by emailing the corresponding authors. The data are not publicly available due to restrictions (e.g., the information could compromise the privacy of research participants, data from minors). The study’s design and analysis were not preregistered.
Ethics Statement
The research team did not receive grant funding for this project. There are no conflicts of interest/competing interests to disclose on behalf of any members of the research team regarding this study. APA ethical standards were followed in conducting the study, and the proposal was reviewed and approved by the Institutional Review Board and by the school district that opted to participate in the study.
Generative AI Statement
As the author(s) of this work, we did not use any AI tools for our manuscript. We, as the author(s), take full responsibility for the content of our published work.
Authorship Contribution Statement
Allen: Contributed to concept and design, data analysis and interpretation, and statistical analysis. Sanchez and Villarreal: Contributed to interpretation, drafting manuscript, critical revision and editing of manuscript, analysis, supervision, and final approval.